文明5战斗伤害计算图文攻略
基本上搞清楚了
攻方实际战斗力(A)=攻方基础战斗力*(1+攻方战斗加成总和)
守方实际战斗力(D)=守方基础战斗力*(1+守方战斗加成总和)
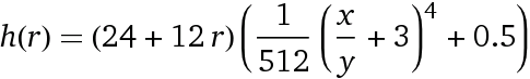
那么在,攻方能够造成的伤害是h(r)

该公式来源于一个文明5论坛的网友的贡献
下面是我的分析,求指点一二
其中,r服从区间[0;1]上的均匀分布,是一个随机数
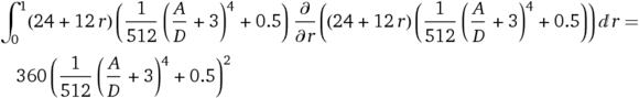
为了求h(r)的数学期望,先给出一个一般公式

然后f(r)是r的概率密度函数,把h(r)代入上式,并且将积分区间设定为[0;1],就有

画出图来大概是这样的


等价的级数展开式。。。



我们主要考虑的就是数学期望,这是我们预期战斗结果的最好指导,另外,根据随机行走理论又或者是大数定律,又或者是什么乱七八糟的理论,都告诫我们数学期望是个好东西
但是,组织一次战争,还要算计其它很多因素,并且还要按部就班地进行随机应变(我知道很绕口),这个只是入门和基础
接下来我将稍微就具体问题展开一下,慢慢更,可能会太监
上面的h(r)写错了,应该改成这样的

接下来,我们先来分析一下影响战斗加成的因素,这样才能构造出尽量有力量的排兵布阵,有助于屹立于世界民族之林
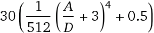
数学期望我算错了,正确的应该是

也就是

图是这样的


电脑上实际发生的伤害是整数,因此还有一个尾数截断的方法,大概是舍去尾数取整数
因此,实际会发生的伤害,可能的最大值和最小值的概率,往往比其他值要小,而其他的那些取值,概率是一样的
侠游戏发布此文仅为了传递信息,不代表侠游戏网站认同其观点或证实其描述