xiayx 9月13日消息,图检索增强生成(GraphRAG)已成为大模型解决复杂领域知识问答的重要解决方案之一。然而,当前学界和开源界的方案依然面临开销巨大、效果有限、适配成本高等难题。
因此,腾讯优图实验室今日宣布 —— 正式开源 Youtu-GraphRAG 框架。据介绍,Youtu-GraphRAG 在六个跨领域多语言基准测试中均展现出了优秀的性能表现:
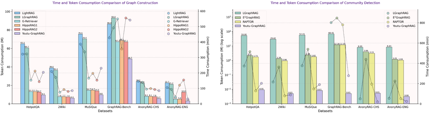
大幅成本优化:相比同类最佳方案,构图成本节省 30%+;
显著精度提升:在复杂推理任务中获得最高 16%+ 的准确率提升;
强大泛化能力:支持中英双语处理,通过最小化人为干预 Schema 实现跨领域无缝迁移。



xiayx从腾讯官方获悉,Youtu-GraphRAG 通过 Schema 连接了两个智能体,在图构建、索引和检索上实现垂直统一和认知闭环。
Schema 引导的层次化知识树构建
通过引入有针对性的实体类型、关系和属性类型,为图构建智能体提供精确约束,实现了跨领域知识的自主演化和高质量抽取。四层架构设计包括:
属性层:存储实体的属性信息
关系层:构建实体间的关系三元组
关键词层:建立关键词索引体系
社区层:形成层次化的高维度社区结构
结构语义双重感知的社区检测
巧妙融合结构拓扑特征与子图语义信息,在复杂网络中提炼高维度知识加强推理总结能力,社区生成效果显著优于传统 Leiden 和 Louvain 算法。利用大模型进行社区摘要生成,实现更高层次的知识抽象。
智能迭代检索机制
深度理解图 Schema,将复杂查询针对性地转换为符合图特征且可并行处理的子查询,通过迭代检索进一步提升思维链追溯与反思能力。
开源地址:
GitHub 地址:https://github.com/ TencentCloudADP / youtu-graphrag
论文链接:https://arxiv.org/ abs / 2508.19855
侠游戏发布此文仅为了传递信息,不代表侠游戏网站认同其观点或证实其描述