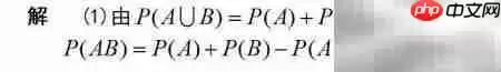
今天共同探讨概率统计中的经典例题解析 咱们先来看看这道题目的全貌。 第一问:检验基础公式的熟悉程度 第一问的重点非常明确,就是检验对最基础公式的掌握是否扎实。题目条件如图所示: 解题的关键在于直接套用并集概率公式:P(A∪B) = P(A) + P(B) - P(AB)。只要公式记得牢,代入已知数值
咱们先来看看这道题目的全貌。

长期稳定更新的攒劲资源: >>>点此立即查看<<<
第一问的重点非常明确,就是检验对最基础公式的掌握是否扎实。题目条件如图所示:

解题的关键在于直接套用并集概率公式:P(A∪B) = P(A) + P(B) - P(AB)。只要公式记得牢,代入已知数值,答案就能顺利得出。具体计算过程如下:

接下来第二问,难度稍有提升,聚焦于“非”运算,也就是补集的理解与应用。这要求我们不仅能计算,更要理解其背后的逻辑关系。

从哪里入手呢?一个可靠的起点是条件 A = A∩S(其中S是全集)。从这个基本等式出发,利用集合运算律进行推导,便能一步步得到所需的关系式。整个推导链条清晰而严谨:

最后是第三问,它考察的是双重否定(即两个“非”连续作用)的含义与处理方法。听起来有点绕,但核心思想并不复杂。
在实际操作中,这类问题通常有规可循。关键在于理解每一次“取补”的本质,往往只需要执行一次规范化的转换步骤,便能化繁为简,完成解答。其具体处理方式如下图所示:

通过以上三步,这道经典例题便从概念、逻辑到应用,得到了完整的解析。掌握其精髓,对于构建稳固的概率论基础至关重要。
侠游戏发布此文仅为了传递信息,不代表侠游戏网站认同其观点或证实其描述